2013硕士研究生考试数学二真题解析

时间:2013-09-09   中华美术高考网  www.mshao.com  来源:  点击:

2013硕士研究生考试数学二真题解析

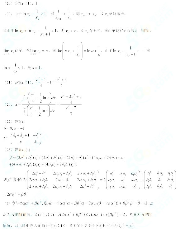
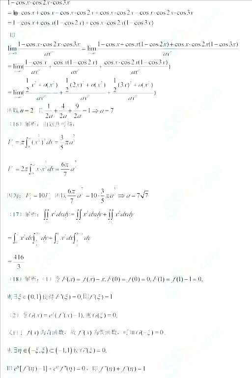
2013年考研数学二真题解析

2013年考研数学二真题解析

2013年考研数学二真题解析

2013年考研数学二真题解析

温馨提示:

由于各方面情况的不断调整与变化,中华美术高考网www.mshao.com所提供的所有信息为非商业性的教育和科研之目的,并不意味着赞同其观点或证实其内容的真实性,仅供参考,相关信息敬请以权威部门公布的正式信息为准。

相关高考热词TAG搜索:2013  考研数学  真题  解析  

精彩推荐